Capital Deployment Matters: A Smarter Way to Assess PE Returns
Over the past two decades, investors have poured capital into private assets, drawn by the promise of higher returns than public markets. But as Ludovic Phalippou highlights in “The Tyranny of IRR,” many investors are beginning to question whether private equity (PE) returns truly live up to their internal rate of return (IRR) figures.
A key reason for the mismatch lies in partial investment. Unlike public assets, PE funds call capital gradually and return it in stages, meaning that a large portion of the committed capital may sit idle for years. This reduces the investor’s gain, even as IRR remains high.
IRR compounds the problem by only considering capital deployed by the fund manager, not the full amount contributed by the investor. As a result, it overstates performance and hides the drag of unused capital. To understand what investors truly earn, we need a metric that captures this dilution.
Enter the capital deployment factor (CDF) — a simple yet powerful tool that measures how much of the paid-in capital was put to work. It reveals not just how much was used, but also how much gain was lost due to partial investment.
The CDF quantifies the impact of partial investment by showing what portion of paid-in capital was actually used to generate returns. Because gain is proportional to the CDF, it also indicates how much potential return was forfeited due to idle capital.
What does the CDF reveal about the impact of partial investment on real PE funds? It shows that it is very significant, as the CDF of PE funds rarely exceeds 60% over their lifetime and typically falls to between 15% and 30% at the time of liquidation.
A side effect of partial investment is that IRR becomes unreliable for comparing performance: Funds with the same IRR but different capital deployment levels can produce very different gains from the same capital paid in. By contrast, the CDF allows investors to calculate the IRR a fund would need to match the gain of another fund or a liquid asset for the same capital outlay.

Capital Deployment Factor
The CDF shows the fraction of the amount paid in by the investor that was deployed by the PE fund manager. It can be calculated at any time knowing the fund’s IRR, TVPI and duration.

The TVPI is the total value to paid-in indicator at time t, IRR is the internal rate of return since inception expressed on an annualized basis, and DUR the number of years elapsed from inception to time t. For example, a PE fund with an IRR = 9,1% per annum and a TVPI = 1,52X, after 12 years:

What does this CDF figure mean? It means that over the 12-year period, only 28.2% of the capital paid in by the investor was used by the fund manager to generate the gain. In other words, just over one dollar in four was put to use to produce wealth.
The IRR and TVPI figures above were compiled by Phalippou from a vast and reputable PE fund database. IRR = 9.1% per annum representing the median IRR for PE funds in the database, and TVPI = 1.52x, their average TVPI. The duration reflects the average 12-year life of a PE fund. The CDF = 28.2% is thus broadly representative of the median PE fund at its date of liquidation.
How does the CDF affect the investor? The impact of partial investment is considerable, since the gain is reduced in proportion to the CDF, as shown by the gain equation:

PAIDINt is the total amount the investor paid in up to time t and Gaint, the gain at time t. Thus, the median PE fund sees its gain reduced by a factor of 0.282 owing to partial investment.
What is the CDF’s typical range for PE funds? It varies throughout the fund’s life. We found it rarely exceeds 60% during its lifetime and falls somewhere between 15% and 30% at liquidation. Venture capital funds and primary funds of funds tend to have higher CDFs than buyout funds, as illustrated in Figure 1.
Figure 1.

Who controls the CDF? The CDF is dictated by the PE fund manager, since the manager alone decides on the timing of flows. The CDF increases if the manager calls the capital earlier. The CDF also increases if payments are deferred. If the full amount is called in at the beginning and both capital and gain are repaid at the end of the measurement period, the CDF is equal to 100%.

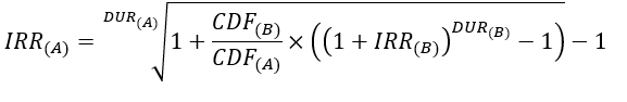
Comparing Returns
Two funds are equivalent in terms of performance when they have generated the same gain from the same amount paid in. This formula expresses this equivalence criterion by giving the IRR that fund A must have if it is to generate the same gain as fund B out of the same amount paid in.

Let’s look at an example:
- Fund(A): DUR = 12 years; CDF = 20.0%; IRR = ?.
- Fund(B): DUR = 12 years; CDF = 28,2%; IRR = 9,1% per year.
What IRR should fund A have for its performance to be equivalent to that of fund B?

Thus, fund A must have an IRR = 11.26% per annum for its performance to be equivalent to that of fund B, which has an IRR = 9.1%. The reason is fund A’s manager has used fewer of the resources at his disposal than fund B’s manager, which is reflected in their respective CDFs. If fund A has an IRR greater than 11.26%, it is considered to have outperformed fund B.
Let’s now assume that fund C has a CDF = 100% and the same duration as fund B. For fund C to have equivalent performance to fund B, its IRR could be much lower at:

A CDF = 100% implies that the amount paid in remained fully invested throughout the 12-year period, with no interim cash flows, the capital and gain being recovered by the investor at the end of the period. This would be the case for an investor who bought the same amount of a public asset and sold it 12 years later. For him, an average growth rate higher than 3.55% per annum would be enough to outperform funds A and B.
Key Takeaways
- IRR can mislead: A 10% IRR on a $1 million PE investment might yield only $30,000 — not $100,000 — because much of the capital wasn’t actually deployed.
- IRR ignores idle capital, as it calculates returns only on the capital actually deployed, and overlooks the fate of uninvested funds.
- The capital deployment factor (CDF) is the key ratio to analyze the impact of a PE fund’s capital deployment policy and its consequences on the outcome of a PE investment.
- The great empirical paradox: Although there is compelling empirical evidence that private assets tend to outperform public assets, the actual outcome for PE investors often fails to reflect this superiority due to the impact of idle capital. So, it’s not private assets that are a performance concern, but rather PE funds as investment vehicles.
- IRR comparisons are flawed: Funds with the same IRR but different levels of capital deployment generate different actual gains for the same amount paid in.
- PME shares IRR’s blind spots: Like IRR, the public market equivalent (PME) doesn’t account for idle capital.
Institutional investors need full-picture metrics. The main performance measurement indicators do not reflect the real outcome for the investor, as they take into account neither the initial commitment, nor the proceeds from cash awaiting call and cash returned by the PE fund. Orbital Assets Method (OAM) offers a solution:
- Treats committed capital as a whole — including what sits outside the PE fund.
- Measures performance from both the PE investment and surrounding liquid assets.
- OAM Performance figures are comparable to those of other assets.
References
Ludovic PHALIPPOU, “The Tyranny of IRR: A Reality Check on Private Market Returns”. Enterprising Investor, 8 November 2024, https://blogs.cfainstitute.org/investor/2024/11/08/the-tyranny-of-irr-a-reality-check-on-private-market-returns/.
Xavier PINTADO, Jérôme SPICHIGER, Mohammad NADJAFI, The Canonical Form of Investment Performance (July 2025), Forthcoming at SSRN.
Xavier PINTADO, Jérôme SPICHIGER, Are IRR performances of Private Equity Funds Comparable? (November 2024). SSRN: https://ssrn.com/abstract=5025824 or http://dx.doi.org/10.2139/ssrn.5025824.
Xavier PINTADO, Jérôme SPICHIGER, The Orbital Assets Method (2024). Available at SSRN: https://ssrn.com/abstract=5025814 or http://dx.doi.org/10.2139/ssrn.5025814.